2026年4月24日,中国AI独角兽DeepSeek悄然上线其旗舰大模型DeepSeek-V4预览版,并同步开源权重。
这距离上一次重磅模型R1发布已过去15个月,也兑现了创始人梁文锋4月初“4月下旬发布”的内部承诺。
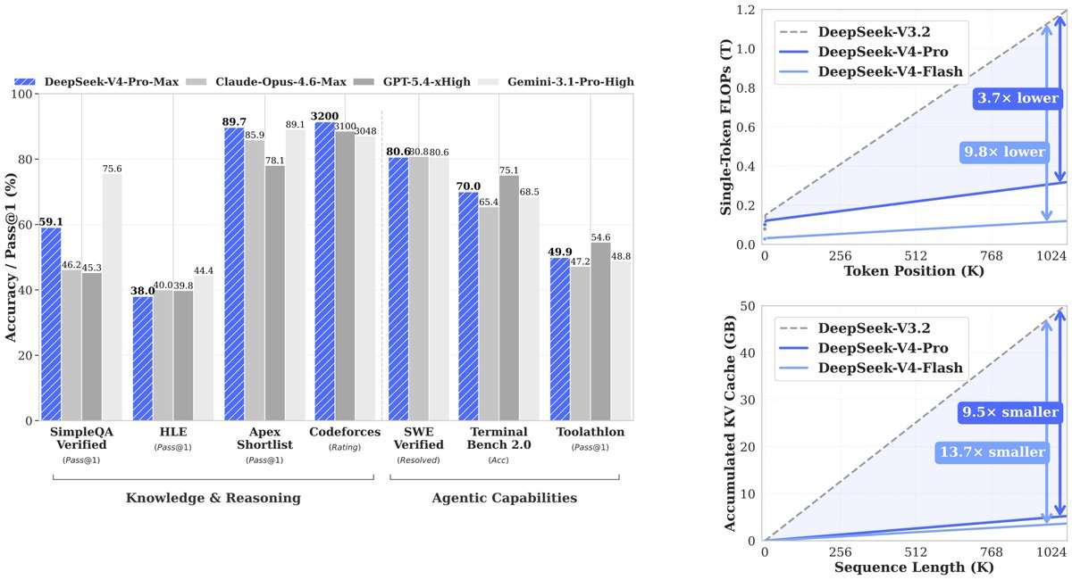
V4分为「V4-Pro」和「V4-Flash」两个版本,均将一百万Token上下文作为官方服务标配,标志着长上下文能力从“奢侈品”走向“标配”。
此举旨在将长上下文能力从高端奢侈品转变为行业标配,也进一步挑战了OpenAI、Anthropic和Google等美国领先企业的主导地位。
DeepSeek V4采用MoE(混合专家)架构,MoE架构+创新注意力机制,兼顾性能与效率。
V4-Pro:总参数1.6万亿,激活参数490亿(MoE架构),预训练数据约32-33T tokens。
V4-Flash则为轻量:总参数2840亿,激活参数130亿,更轻量高效。
根据公司公布的技术报告,两款模型均引入全新Token维度压缩机制和DSA稀疏注意力技术,在保持高性能的同时显著降低了长上下文场景下的计算和显存开销。

DeepSeek强调,V4重点优化了Agentic Coding(智能体编程)能力和实际落地场景,支持reasoning_effort参数调节“思考模式”,并已深度适配Claude Code、OpenClaw等主流Agent框架。公司内部已将其作为主力编码工具。
性能方面,DeepSeek称V4-Pro在Agentic Coding(智能体编程)基准测试中达到开源模型领先水平,使用体验优于Claude Sonnet 4.5,交付质量接近Claude Opus 4.6非思考模式;在数学、STEM和代码竞赛等评测中超越已公开的其他开源模型,仅在世界知识维度略逊于Gemini-Pro-3.1。V4-Flash则定位高性价比,适合日常高频任务。
产品即刻可用。用户可通过chat.deepseek.com网页或官方App切换“快速模式”(Flash)和“专家模式”(Pro)。API接口已更新,开发者可直接调用deepseek-v4-pro或deepseek-v4-flash,同时兼容OpenAI和Anthropic格式。旧版模型deepseek-chat和deepseek-reasoner将于2026年7月24日下线。模型权重已在Hugging Face和ModelScope以MIT协议开源。


定价极具竞争力(以每百万token计):V4-Flash输入约0.14美元(缓存命中更低)、输出0.28美元;V4-Pro输入约1.74美元(缓存命中0.145美元)、输出3.48美元,远低于国际主流闭源旗舰模型。公司希望借此加速AI在企业和开发者中的大规模采用。
DeepSeek此前以高性能、低成本和开源策略著称,此次V4发布延续了其“长期主义”路线,聚焦Agent能力和长上下文普惠,并优先适配国产算力。在中美AI竞争持续升温、全球算力供应紧张的背景下,该模型的推出有望进一步推动开源生态发展。DeepSeek在公告中表示,将继续稳步向AGI目标迈进。V4目前为预览版,未来完整版或将加入多模态能力。
官方在公告中引用古语:“不诱于誉,不恐于诽,率道而行,端然正己。”
行业意义:中国AI“长期主义”的又一力证
DeepSeek自V2、V3时代便以“高性能+低成本+开源”闻名,此次V4预览版再次展现其工程效率:不堆参数、不追热点,而是聚焦Agent能力和长上下文普惠,并优先适配国产算力(此前传闻已确认支持华为昇腾等,该消息待确认)。

用DeepSeek 预算大幅削减,用Claude的AI 4个月预算,可以用DeepSeek 7年
在中美AI竞争白热化、全球算力紧张的背景下,V4的发布不仅为开发者提供更强工具,也为整个开源生态注入新活力。
V4预览版只是起点。随着社区微调、更多基准出炉,以及未来完整版可能带来的多模态(图像/视频)进一步增强,DeepSeek有望继续改写开源大模型的性价比天花板。



